创作立场声明:个人经验分享,无任何品牌立场,如有错漏,欢迎指出。
改善换房,装修第一个采购的大件就是中央新风系统,用了半个月的时间研究,发现这里面的水实在太深,把一些经验和心得放在这里,供大家参考。

收集了一大堆新风宣传册
虽然自认为研究的非常深入了,但毕竟刚刚接触不久,写的有不对的或者不到位的,欢迎指正。
长文预警!长文预警!
新风早就不是什么新东西了,国内的空气质量最近几年有所改善,但是大家对健康生活的需求增长更加迅速,因此新房子装修时的中央新风系统成为了很多人的刚需。(但是很遗憾,估计除了少数几个大城市,全国大部分城市的中央新风系统卖家仍然非常不专业)
之前有商家说国外使用新风比例很高云云,其实并不准确。新风系统在国外的确有,但其实它在国外的主要作用并不是过滤、净化,而就是单纯的换气,许多国外的新风系统根本不标配过滤网,到了国内之后才加上了一些过滤环节。
所以,其实无论国内外,中央新风系统需要解决的问题非常简单,就是:
“在无法开窗换气的时候,通过中央新风系统来帮助我们换进新鲜空气。”
那么是否需要中央新风系统这个问题回答起来也就很简单了,你是否存在着无法开窗换气的情况。
无法开窗换气的情况大概有以下几种:
1. 室外空气污染超标,换进来更不健康(所以需要带过滤系统的新风系统)
2. 冬季室外空气太冷/夏季室外空气太热(所以需要带热交换的新风系统)
3. 室内无窗或开窗面积过小
对于我而言,坐标东北三线省会,实际上最近两年空气治理的不错了,一年到头让人难熬的重污染天气也就一周(开春集中烧秸秆,那一周其实就算新风也最好别开,忍几天不开窗就过去了),其他时候空气总体还成,所以对空气净化的需求只能说有,并不是很高。但是冬季漫长,每天长时间开窗显然不现实,但新房子不通风无论如何甲醛等各种有害气体都会对健康造成威胁,因此对新风系统的最主要需求就是:冬季帮助室内换气。
提起换气多说一句,对于新房子而言,甲醛是无论如何都会缓慢释放的,而降低甲醛最有效的方式其实就是通风换气。甲醛的相关标准是关门关窗24小时后浓度不超过某一个限值,但假如连续若干天不开窗换气,就算是符合标准的房子内甲醛含量依然会超出限定值,对健康造成威胁。此外,甲醛释放的速度也是大家比较关心的一个要点,很多人想在未入住阶段让室内家装尽可能的多释放甲醛,待入住后其释放量自然会变少。这个思路本身没有问题,但是提高速度的方式很多人却走了弯路。网上比较常见的说法是甲醛释放的速度和温度和湿度有关,这句话原本是没错的,但这就造成了很多人试图用“闷”的方式把温度和湿度锁死在室内,以图提高甲醛释放速度。但这里不得不提醒一下大家,影响甲醛释放速度的还有一个非常重要的指标,就是空气中的甲醛浓度。甲醛在空气中的浓度达到一定程度时,会呈现一种近似于饱和的状态,家装释放甲醛量会随着空气中甲醛浓度的提高而大幅下降!所以,真正有效的提高甲醛释放的方法应该是:保证温度、湿度的同时,保持室内较低水平的甲醛浓度。理论上如果可以保证上面几点的话,对人而言也是宜居的,所以家装“排毒”也需要和我们人一样的宜居环境才行。
通过这样的分析我们就知道了,新房子无论是想要尽早入住还是想要在“放味”期间提高“放味”效率,都需要我们在保证温湿度的同时尽可能的通过通风降低室内污染物的浓度。这就催生了我们对带有“全热交换”功能的新风系统的重大需求。
现在的新风系统能做什么?总结起来也很简单,就是:
在通风的同时保持室内温度(需全热或显热交换功能)、湿度(需要全热交换功能)的相对稳定和减少颗粒污染物(需净化功能)。
那么我们是需要一个壁挂式新风还是一个中央新风系统呢?这二者其实并不存在优劣之分,只是存在一个选择而已。
先说中央新风的优势:
1. 对于一个三居室而言,如果用壁挂新风机,可能至少需要4个,而假如有温度湿度恒定的需求,每个新风机都得有一个全热交换芯,最终算下来,无论是初期采购成本还是后期耗材成本都真的不低。(辅热只能解决南方部分地区的温度需求,对北方而言,问题实在太多)而中央新风相对来说对于大户型经济成本更低。
2. 卧室里,新风机无论如何都不会离床太远,全热新风机里面两个风机,噪音再小可能有的人也还是无法接受。
3. 容易隐藏,很少出现美观性问题。
壁挂机的优势:
1. 可以在装修后安装
2. 不需要后期对风管进行维护以避免风管的二次污染
3. 不需要考虑施工安装技术对最终效果的影响
对于我而言,房子不小,而且是新装修,坐标东北,选择很好做,一定是需要中央新风系统了。
经过半个月来的考察,走访了本地几乎全部的新风商家,有做了十几年的,有做了七八年的,但深入交流却发现一个很悲哀的现实:在我所在的城市,几乎没有真正专业的新风系统提供商!有的可能经验丰富,凭着经验可以把系统做的还不错,但距离真正的专业还是有差距!而哪怕是想闭着眼睛找到这样真正经验丰富的技术人员,也是基本只能凭运气了。
商家不会专业的设计怎么办?为了避免入坑,我们只能自己撸袖子上了!
在这里我斗胆把自己总结的新风系统设计步骤分享给大家,我觉得起码比普通的商家还是要专业一些,当然毕竟非业内人士,有任何谬误,欢迎大家批评。
第零步:选择管路系统方案类别,PVC vs. PE
这个问题还真是个大问题。在某乎上大家一边倒支持PE,提出的主要观点包括:
1. PVC有污染,会粉化
2. PVC风损大,风量也就70%不错了,PE能超100%(???)
3. PVC穿墙孔大,风险大(PVC一般110管穿墙,PE一般75管穿墙)
4. PVC噪音大(三通比较多),难以清洗。
5. PVC有隔音问题(不同卧室接入到同一个风管,可能会出现两个卧室不隔音的问题)
但通过仔细研究发现,PVC并非如此不堪,如果是标准化设计、施工,它也一样可以达到风量要求和噪音要求!而且什么粉化、有毒、污染根本站不住脚!
但是PVC的确存在着隔音问题、难以清洗问题和穿孔问题,同时,PVC还有一个大问题就是:
计算太难了!作为小白用户根本算不出来!施工方说啥是啥,只能一脸懵X
为什么说PVC计算难呢,因为PVC管路是树状扩散结构,一根主管下去,有不同的分支,通常长这样:

PVC树状分布结构(网络图,侵删)
树状结构的总体风压损失计算量超大,牵一发而动全身,所谓的按距离和三通数量估算实在太太粗糙,起码在本地,没有一家公司敢说给你估算风压损失的,都是大概估计估计,和“算”完全不搭边。
而PE管路是章鱼结构,接入分风箱后,有几个支路就接几个PE管,然后一管到底。这种结构是纯并联结构,没有分支,没有三通。并联结构的风压损失怎么算呢?非常简单,就算风阻最大的那一个线路,就是整体的风阻了!具体如何估算后面会为大家详细说明!

PE典型安装方式(网络图,侵删)
因此,虽然PVC并没有那么的不堪(污染、粉化都太极端了),但PE的优势也的确非常明显,特别是对于房子比较大,管路比较复杂的小伙伴而言,选择PE会省心很多!
第一步:计算风量需求
好了,终于到了新风系统设计的第一步了。首先我们要做的就是确认每个空间的新风量需求。只要有了空间布置图之后就可以计算了。比如说一间卧室,面积是15平米,吊顶后高度是2.6米,那么它的新风体积就是15*2.6=39立方米。注意,通常卫生间、厨房等空间不计算入新风面积。
有了新风体积之后,乘以一个系数就是我们每小时所需要的新风量了。这个系数一般是在0.5-1之间取,代表着新风面积内每小时的换气几次,1就代表换气1次,0.5就代表换气0.5次。建议大家先选一个居中的数字。比如0.8,这样我们就有了新风量的需求,刚才那个15平米的卧室,计算下来就是39*0.8=31.2 立方米。
用这样的方法对全屋每个新风空间进行计算,最后把所需的新风量加起来,就得到了我们最终的新风需求。比如说主卧需要31立方米,客卧需要25立方米,书房需要25立方米,客厅需要69立方米,最后我们算下来一共需要150立方米。
那么好,我们可以直接选择标称150立方米的新风机了么?别急!还远远没到那一步!

楼主自己算的新风需求,根据需求可以算出每根管线的所需风速。
第二步:初步设计管路走线,找出“最不利”管路,计算其风阻,估算系统总体风阻
按理说,这一步不应该我们来做,特别是如果是PVC走线,太难做了!
但是如果用PE走线,那其实并没有那么的复杂,我们可以自己初步做一个方案,最终方案不会在管路风阻上有太大波动。PE走线首先确定风机位置,之后确定分风箱位置。确定分风箱位置的时候一定要考虑好管路过梁问题!首先是分风箱的进风管,一般进风是160的管或者110的管,这种管径都不太适合在梁上打孔,请大家一定慎重!
然后是分风箱的出风管,一般出风是75的管,这种管径有说法是可以按着要求打过梁孔,但是也依然要慎重,有条件可以在梁下绕路走的,就绕路走吧!
出风管出来之后一般走线横平竖直,沿着房间的边沿走,方便后期吊棚施工做隐蔽工程。出风口一般不在门口,不在床的正上方。
按着这几个原则初步设计管路走线后,就可以开始计算每条管路在满足标准要求之后的风速了!以75管为例,内径是63,截面积是0.003117,单位速度每小时出风量就是0.003117*3600=11.222立方米。那么以我们刚才计算的卧室所需新风量计算,满足需求的风速为:31/11.222=2.76米/秒。利用同样的算法我们可以算出每一个出风口的风速,如果发现风速过大,例如超过了3米/秒,可以考虑加一个送风管。最终算下来,客厅的两个出风口出风速度最快,达到了3.07米/秒,但是客厅出风口距离分风箱最近,没有拐弯,而主卧的却拐了好几弯,管路总长度也长了一倍,因此我们基本可以判断主卧室就是那个风阻最大的“最不利管路”。好了,看到这里大家也应该了解影响风阻的几个因素了:
1. 风速越大,风阻越大(风阻和风速的平方成正比)
2. 管路越长,风阻越大
3. 管路弯越多,风阻越大
如果出现了两个管路一个距离远,弯多,一个风速快,就只能分别计算了。
那么具体怎么算?我也不会。。。。。这个真的太难了
所以,我们作为用户,可以用一些合理估算的方法进行向上估计。比如我的一根管路,3米每秒,20米左右,拐了4个弯,风阻经过专业人士计算大约在75Pa左右,大家可以根据这个数据进行大体估算。比如刚才例子中的主卧,2.76米/秒,15米,三个弯,估算60pa应该只高不低。就任性的按60Pa算好了!
有了最不利管路的风阻,我们再合理估算下系统的风阻,比如进风口一般有5-10个Pa的风阻,110或者160的管拐个弯也能有5-10个Pa的风阻,我们全部取上限,最后估算系统整体风阻。以刚才的例子为例,系统总体风阻估算到90Pa,到头了吧!
第三步:选择新风机
可算到选型了。
现在我们有了风量需求:150立方米,有了系统风阻:90 Pa,所以我们需要的新风机就要起码达到这个性能:150立方米@90Pa
现在市场上许多新风机的风量标注方法非常随意,有的干脆给一个最大风量,然后我们一查图标发现这个最大风量是在风压为0的时候实现的,也就是,完全没有风阻的情况下实现的,而有的新风机则比较厚道,给出的标称出风量是在@100Pa时得到的。我们需要擦亮眼睛,所以这个“@90Pa”的意义就非常大了!
相信很多人在采购新风机的时候都被忽悠过,说我这个机器静压大,但这三个字里面水非常深!我到现在也没完全整明白!
有的这个最大静压指的是去除所有过滤环节,风机本身提供的静压。有的最大静压指的是新风机出口的最大静压。而且,关键是,静压大并不代表一定适合我们!静压大什么意思,静压大说明这个机器抵抗风阻的能力强,但是静压大却不一定在低风阻时的风量大!给大家看一个图就全明白了!
所以不要听什么静压大,什么风量大,就管商家要新风机的性能曲线图,就像这样的!

一些风压和风量性能曲线图样例

一些风压和风量性能曲线图样例
如果无法提供,那咱还是别买了!这是判断新风机商家是否专业的重要指标,不能提供性能曲线的,不买为好!
有了曲线,就非常简单了,在上面找点,找那个点呢?拿刚才的例子来说,就是找150立方米和90Pa对应的那个点,看看那个点在哪里。然后,画一条过这个点的y=ax^2的二次曲线。为什么这么画?因为风阻和风速的二次方成正比,横坐标是风量,对于一个管路而言,就是风速!所以画了这条曲线之后我们就大概明白我们的管路在不同风量供应下的风阻大小了。
这条曲线和这个新风机的性能曲线会有交点,如果是三档位的新风机就是三个交点,四个档位就是四个交点,以此类推。这个交点才是我们真正应该关注的!这个交点就叫做工作点。工作点就是新风机真实工作时的风量和风阻的情况。我们需要找到最近的一个工作点,记录它的风量。比如这个风量时200立方米,那么我们整体的换气频率就变成了0.8/150*200=1.07次。注意!并不是越大越好!要知道我们每个出风口的速度也提高了很多,比如刚才这个例子里的客厅出风速度就来到了4.1米/秒,这个风声可就不小了啊,当然这两个出风口在客厅可能问题不大,但我们的确要仔细计算每个出风口,风量不满足要求不行,但是出风速度太快了噪音也受不了!
最理想的选择应该是新风机的中档线就在150立方米@90Pa附近,我们在后期进可攻退可守,可以比较灵活控制新风量。
好了,现在我们走了很多家商家,发现其中有部分机器是可以满足我们的风量需求的,那么这个时候就要关注另外几个方面了:
1. 噪音
实际上各家对噪音的控制已经都还不错了,机器本身除了最高风速的时候噪音真的不太大了,一般都在三十几分贝到四十分被左右。不过呢,更为专业的新风系统其实可以提供给客户不同工作点上的工作噪音,这样的话你就会清楚的了解机器的噪音情况。
例如:

工作点噪音详细数据样图(第一列最后一个噪音分贝就是大家常见商家标注的那个数值:机外3米处噪音)
在噪音部分提一下直流电机和交流电机的问题,现在市面上大多数都用直流电机了,因为噪音小,调速方便,省电。相对的交流电机噪音就要大一些,调速没有直流这么顺滑,相对也更费电。
但是只要是满足噪音要求的我个人觉得就可以用,不要只关注直流还是交流而忽视了噪音耗电等指标。
2. 全热交换
如果大家对温湿度的控制有要求的话,全热交换是需要关注的点。今年开始全热交换滤芯开始“高分子”化,从前为了能够交换湿度,滤芯中一般都是纸质的,纸质的用时间久了一定会发生很多变化,所以定期需要更换,现在很多新风系统退出了高分子滤芯,说白了就是塑料,然后表面上做成超亲水,这类全热交换寿命要久一些。不过是否是真的高分子大家需要擦亮眼睛,很多纸质交换芯外面能摸到的地方也都是塑料,所以需要仔细观察、询问才能确认。
无论是纸芯还是高分子芯的全热交换都是差不多的形式,被称为板式全热交换器,对于坐标东北的我而言,有个很重要的问题,室外温度超低的话一定会失效。很多新风系统会在室外温度很低的时候进行一些妥协,比如零下十度的时候进风开一会儿关一会儿以保持交换芯不结霜,零下二十度以下就直接关闭进风。这种妥协其实影响并不大,就算是我所在的城市,零下20度以下的时候也没多少,但是问题是买来新风就是为了冬天用的,结果冬天没办法发挥全部功力,还是很郁闷的。
还好除了板式全热交换以外,还有一种全热交换形式,叫做轮式全热交换。具体原理不提了,有需要的可以去某乎上看看。这种轮式全热交换有几个优点:
1). 全铝结构,理论上更耐低温,厂家宣传是零下四十度依然可用。无论真假,起码原理上的确是更适应低温环境
2). 铝的热交换效率更高,通常轮式全热交换的交换效率更高。
3). 能停!可以自由选择是否开启热交换。这个功能在某些地方很有意义,比如东北地区。夏天的热的时候无风,晚上外面很凉快了,但是打开窗户有时候风也进不来,屋里还是很热,这时候新风机开着可以把外面的新鲜凉空气吹进来。但是板式热交换芯停不了,会把冷风加热了再吹进来,而轮式的能停,冷风直接进来,所以夏天的晚上可以当半个中央空调用了。
4). 能洗,轮式的交换芯可以用很久很久,脏了就拿下来吹吹洗洗继续用,非常方便。板式交换芯很少有可以清洗的。
当然,也有点缺点:
1). 有点混风。也就是部分回风会混入到进风中来。当然了,这个比例并不高。板式的也不是完全没混风,有的工艺好的能做到基本没有,很多其实也都多多少少混一些。
2). 成本稍高。
楼主处于对冬季换热、夏季不换热的需求,选择了轮式热交换的新风机。目前市场上提供这种类型的新风机我所知道的就是奥斯博格一家。这里不想多做广告,不过也大概介绍下我的选择。
1. 品牌来源
仔细调查了一番,这个品牌的确是欧洲本土品牌,总部在瑞典,做风机,新风机,主打轮式新风机。
在中国昆山有一个分公司,是奥斯博格的全资子公司,注册的老板也都是瑞典人。
在假洋鬼子遍地的新风系统市场中,也算是正经外国品牌之一了。(并不是讲外国品牌一定好,但起码奥斯博格没有在这上面作假)
2. 产品优势
1)轮式换热芯(也许不算优势,但对于像我这种需求的人而言,就算是优势了),能洗、能停、低温能用。
2)有吊装的,还有立式安装的。家里空间大的,选择立式安装的也很赞。商场里那些进口品牌都是立式安装(老外基本只用立式安装,吊装的是为中国设计的),价格飞上天,他家的立式安装机器价格还算合理(毕竟国内组装)
3)最为关键的是,资料极其丰富。可以去他家的国外官网,虽然机型型号和国内的不完全一样,但相近型号的性能大体差不多,国内很多型号只是加了过滤,使得最大风量略有下降。
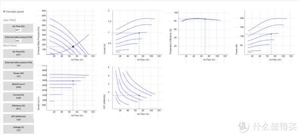
在其国外官网上,可以直接输入自己计算的那个风压和风速,然后工作点、噪音啥啥的就都出来了,简直太方便!刚才的噪音数据就是他家国外官网上找到的。除了噪音还有热交换交流、转速、电流、风速等等。如图所示:

奥斯博格提供的各种详细数据
4)立式机的部分型号还可以增加辅热功能(不贵),冬天更舒适!
3. 缺点
1)遥控器版本(立式机专有)的遥控器操作太复杂!而且遥控器版本没有温度、CO2传感器啥的,看上去像上个世纪的控制管理方式。。。。。(当然他家吊装机型都是面板控制版本,该有的智能操作都有,还能手机控制。但是立式机的遥控器版本啥都好,就是控制上像活在上个世纪)
2)轮式新风会有混风,介意的慎选。
安装留着以后写吧,因为我自己也还没真的安上呢。总之就一个原则,安装要能达到设计的所有指标才行(风量、风速、噪音等等)。
梗概总结如下:
1. 如果你需要辅助换气,无论什么原因,请选择新风系统
2. 新风系统设计安装比新风机可能更重要。先设计、再选机型
3. 出于噪音和方便计算的考虑,选择PE管吧
4. 第一步要计算自己的换风需求,然后根据需求,计算风量、风速,找到最不利管路,对最不利管路计算风阻。
5.根据风阻、风量选择风机,注意寻找风机的工作点,最好厂家可以给出具体参数曲线,噪声曲线等等
6.可根据需求选择新风机的功能,轮式交换型更适合低温环境,可清洗,可停(夏季凉风),但会有一点点混风。其他功能还是根据具体需求判断。
7. 施工要完全实现设计目标才行
此外,要提一下百度新风吧,这个吧非常厉害,实际上我上面写的很多东西都是从吧主那里偷师来的,可能有的偷得还不那么准确,推荐大家可以在采购新风之前,先去新风吧看看。还有呢就是某乎,上面新风的话题也有几个活跃的回答者,可以收获很多。个别人可能有某品牌立场,请大家自行判断。
